Упражнение 9.7 ГДЗ Мерзляк 10 класс Углубленный уровень (Алгебра)
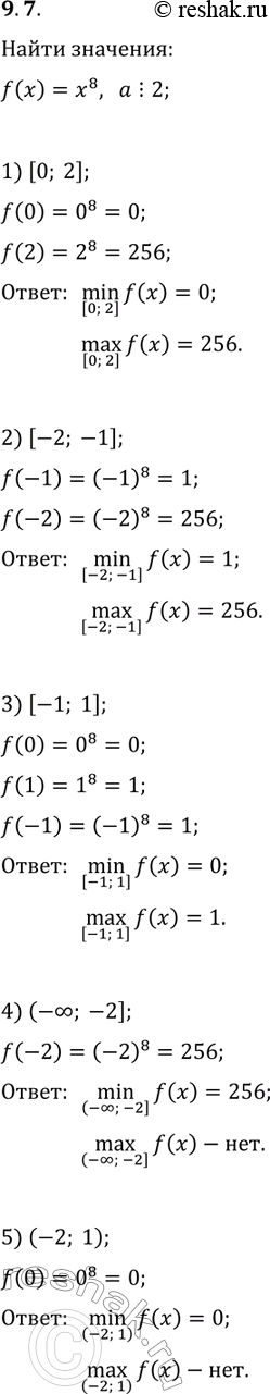
9.7. Найдите наибольшее и наименьшее значения функции f(x)=x^8 на промежутке: 1) [0; 2]; 2) [-2; -1]; 3) [-1; 1]; 4) (-?;
![Решение задачи: 9.7. Найдите наибольшее и наименьшее значения функции f(x)=x^8 на промежутке: 1) [0; 2]; 2) [-2; -1]; 3) [-1; 1]; 4) (-?;](solutions/algebra/10/635/1-9-7.png)
Ниже вариант решения задания из учебника Мерзляк, Номировский, Поляков 10 класс, Просвещение:
9.7. Найдите наибольшее и наименьшее значения функции f(x)=x^8 на промежутке:
1) [0; 2]; 2) [-2; -1]; 3) [-1; 1]; 4) (-?; -2]; 5) (-2; 1).
