Упражнение 9.8 ГДЗ Мерзляк 10 класс Углубленный уровень (Алгебра)
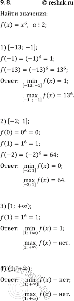
9.8. Найдите наибольшее и наименьшее значения функции f(x)=x^6 на промежутке: 1) [-13; -1]; 2) [-2; 1]; 3) [1; +?); 4) (1;
![Решение задачи: 9.8. Найдите наибольшее и наименьшее значения функции f(x)=x^6 на промежутке: 1) [-13; -1]; 2) [-2; 1]; 3) [1; +?); 4) (1;](solutions/algebra/10/635/1-9-8.png)
Ниже вариант решения задания из учебника Мерзляк, Номировский, Поляков 10 класс, Просвещение:
9.8. Найдите наибольшее и наименьшее значения функции f(x)=x^6 на промежутке:
1) [-13; -1]; 2) [-2; 1]; 3) [1; +?); 4) (1; +?).
