Упражнение 1.34 ГДЗ Мерзляк 11 класс Базовый уровень (Алгебра)
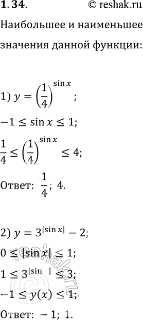
1.34. Найдите наибольшее и наименьшее значения функции: 1) y=(1/4)^(sin(x)); 2) y=3^(|sin(x)|)-2. *Цитирирование задания со ссылкой на учебник производится исключительно в учебных целях для лучшего понимания разбора решения задания.

Ниже вариант решения задания из учебника Мерзляк, Номировский, Полонский 11 класс, Просвещение:
1.34. Найдите наибольшее и наименьшее значения функции:
1) y=(1/4)^(sin(x)); 2) y=3^(|sin(x)|)-2.
