Упражнение 1.36 ГДЗ Мерзляк 11 класс Базовый уровень (Алгебра)
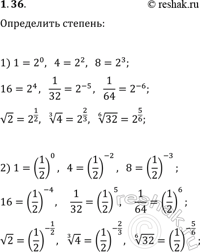
1.36. Представьте числа 1; 4; 8; 16; 1/32; v2; 4^(1/3); 32^(1/6) в виде степени с основанием: 1) 2; 2) 1/2. *Цитирирование задания со ссылкой на учебник производится исключительно в учебных целях для лучшего понимания разбора решения задания.

Ниже вариант решения задания из учебника Мерзляк, Номировский, Полонский 11 класс, Просвещение:
1.36. Представьте числа 1; 4; 8; 16; 1/32; v2; 4^(1/3); 32^(1/6) в виде степени с основанием: 1) 2; 2) 1/2.
