Упражнение 12.1 ГДЗ Мерзляк 11 класс Базовый уровень (Алгебра)
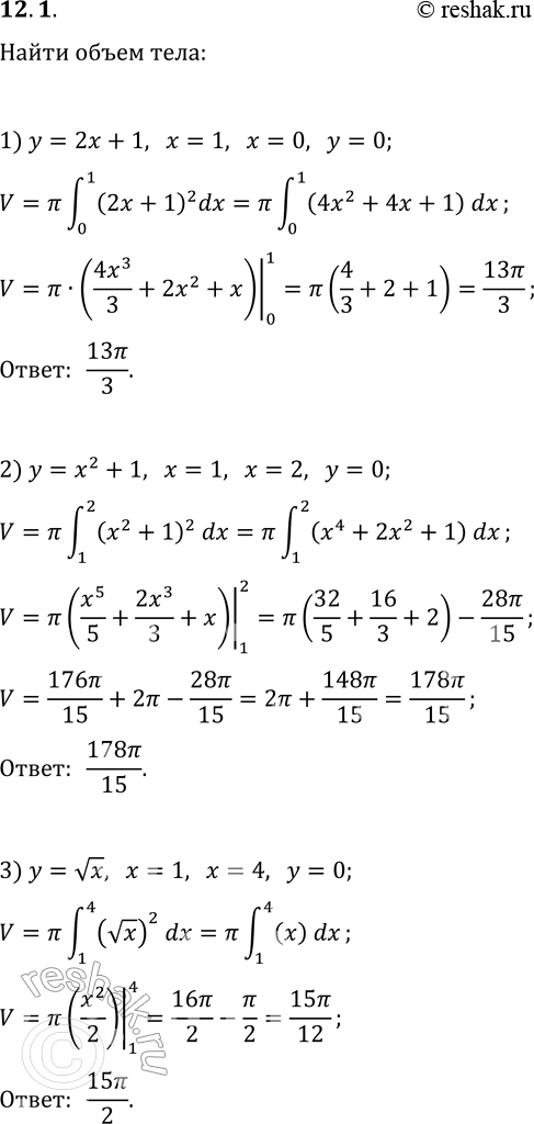
12.1. Найдите объём тела, образованного вращением вокруг оси абсцисс фигуры, ограниченной линиями: 1) y=2x+1, x=1, x=0, y=0; 2) y=x^2+1, x=1, x=2, y=0;


Ниже вариант решения задания из учебника Мерзляк, Номировский, Полонский 11 класс, Просвещение:
12.1. Найдите объём тела, образованного вращением вокруг оси абсцисс фигуры, ограниченной линиями:
1) y=2x+1, x=1, x=0, y=0;
2) y=x^2+1, x=1, x=2, y=0;
3) y=vx, x=1, x=4, y=0;
4) y=x^2, y=x;
5) y=1/x, y=0, x=1/2, x=2, y=x.
