Упражнение 13.9 ГДЗ Мерзляк 11 класс Базовый уровень (Алгебра)
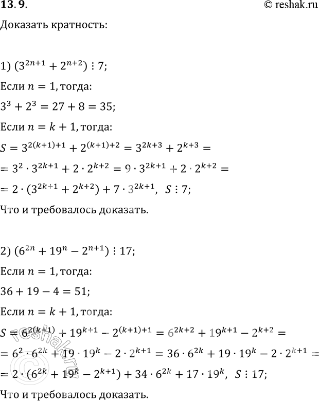
13.9. Докажите, что для любого натурального n: 1) (3^(2n+1)+2^(n+2))?7; 2) (6^(2n)+19^n-2^(n+1))?17. *Цитирирование задания со ссылкой на учебник производится исключительно в учебных целях для лучшего понимания разбора решения задания.

Ниже вариант решения задания из учебника Мерзляк, Номировский, Полонский 11 класс, Просвещение:
13.9. Докажите, что для любого натурального n:
1) (3^(2n+1)+2^(n+2))?7; 2) (6^(2n)+19^n-2^(n+1))?17.
