Упражнение 17.7 ГДЗ Мерзляк 11 класс Базовый уровень (Алгебра)
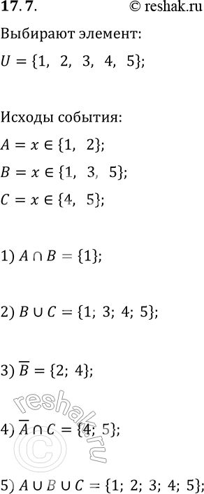
17.7. Опыт состоит в том, что из множества U={1; 2; 3; 4; 5} наугад выбирают один элемент. В этом опыте рассматривают следующие события:

Ниже вариант решения задания из учебника Мерзляк, Номировский, Полонский 11 класс, Просвещение:
17.7. Опыт состоит в том, что из множества U={1; 2; 3; 4; 5} наугад выбирают один элемент. В этом опыте рассматривают следующие события:
А — выбранный элемент принадлежит множеству {1, 2},
В — выбранный элемент принадлежит множеству {1, 3, 5},
С — выбранный элемент принадлежит множеству {4, 5}.
Какой элемент мог быть выбран, если произошло событие:
1) A?B; 3) !B; 5) A?B?C?
2) B?C; 4) !A?C;
