Упражнение 17.8 ГДЗ Мерзляк 11 класс Базовый уровень (Алгебра)
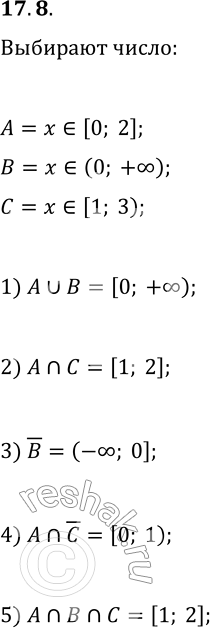
17.8. Опыт состоит в том, что наугад выбирают действительное число. В этом опыте рассматривают следующие события: А — выбранное число принадлежит промежутку [О;

Ниже вариант решения задания из учебника Мерзляк, Номировский, Полонский 11 класс, Просвещение:
17.8. Опыт состоит в том, что наугад выбирают действительное число. В этом опыте рассматривают следующие события:
А — выбранное число принадлежит промежутку [О; 2],
В — выбранное число принадлежит промежутку (0; +?),
С — выбранное число принадлежит промежутку [1; 3).
С помощью числовых промежутков запишите множество тех чисел, которые могли быть выбраны, если произошло событие:
1) A?B; 3) !B; 5) A?B?C.
2) A?C; 4) A?!C;
