Упражнение 18.18 ГДЗ Мерзляк 11 класс Базовый уровень (Алгебра)
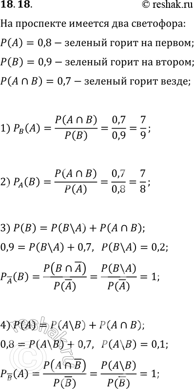
18.18. На проспекте установлено два светофора. Вероятность зафиксировать зелёный свет на первом светофоре равна 0,8. а на втором светофоре — 0,9.

Ниже вариант решения задания из учебника Мерзляк, Номировский, Полонский 11 класс, Просвещение:
18.18. На проспекте установлено два светофора. Вероятность зафиксировать зелёный свет на первом светофоре равна 0,8. а на втором светофоре — 0,9. Вероятность зафиксировать зелёный спет одновременно на обоих светофорах равна 0,7. Найдите вероятность:
1) зафиксировать зелёный свет на первом светофоре при условии, что на втором светофоре также горит зелёный свет;
2) зафиксировать зелёный свет на втором светофоре при условии, что на нервом светофоре также горит зелёный свет;
3) зафиксировать сигнал, запоминающий движение, на первом светофоре при условии, что на втором светофоре горит зелёный свет;
4) зафиксировать зелёный свет на втором светофоре при условии, что на первом светофоре горит сигнал, запрещающий движение.
