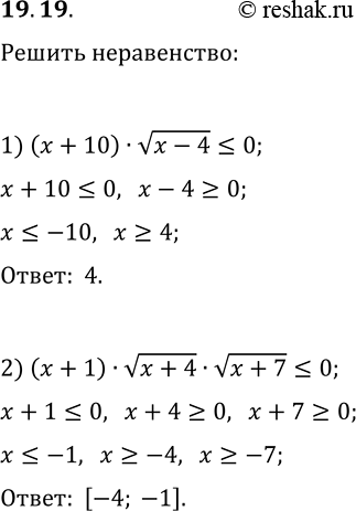
Упражнение 19.19 ГДЗ Мерзляк 11 класс Базовый уровень (Алгебра)
19.19. Решите неравенство: 1) (x+10)v(x-4)?0; 2) (x+1)v(x+4)v(x+7)?0. *Цитирирование задания со ссылкой на учебник производится исключительно в учебных целях для лучшего понимания разбора решения задания.

Ниже вариант решения задания из учебника Мерзляк, Номировский, Полонский 11 класс, Просвещение:
19.19. Решите неравенство:
1) (x+10)v(x-4)?0;
2) (x+1)v(x+4)v(x+7)?0.
