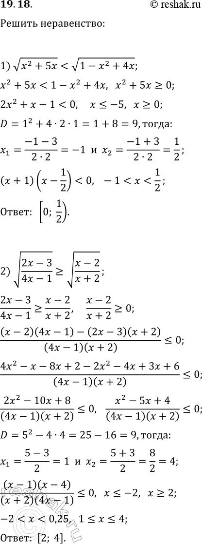
Упражнение 19.18 ГДЗ Мерзляк 11 класс Базовый уровень (Алгебра)
19.18. Решите неравенство: 1) v(x^2+5x) 2) v((2x-3)/(4x-1))?v((x-2)/(x+2)). *Цитирирование задания со ссылкой на учебник производится исключительно в учебных целях для лучшего понимания разбора решения задания.

Ниже вариант решения задания из учебника Мерзляк, Номировский, Полонский 11 класс, Просвещение:
19.18. Решите неравенство:
1) v(x^2+5x)
2) v((2x-3)/(4x-1))?v((x-2)/(x+2)).
