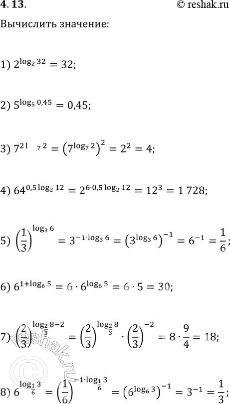
Упражнение 4.13 ГДЗ Мерзляк 11 класс Базовый уровень (Алгебра)
4.13. Вычислите: 1) 2^(log_2 32); 3) 7^(2log_7 2); 5) (1/3)^(log_3 6); 7) (2/3)^(log_(2/3) 8-2); 2) 5^(log_5 0,45); 4) 64^(0,5log_2 12); 6) 6^(1+log_6 5);

Ниже вариант решения задания из учебника Мерзляк, Номировский, Полонский 11 класс, Просвещение:
4.13. Вычислите:
1) 2^(log_2 32); 3) 7^(2log_7 2); 5) (1/3)^(log_3 6); 7) (2/3)^(log_(2/3) 8-2);
2) 5^(log_5 0,45); 4) 64^(0,5log_2 12); 6) 6^(1+log_6 5); 8) 6^(log_(1/6) 3).
