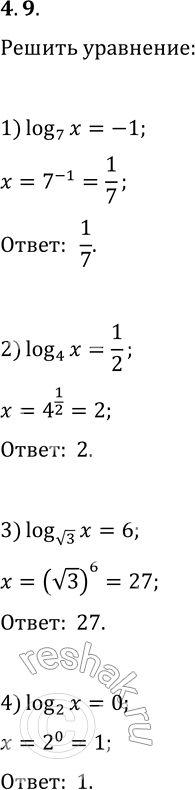
Упражнение 4.9 ГДЗ Мерзляк 11 класс Базовый уровень (Алгебра)
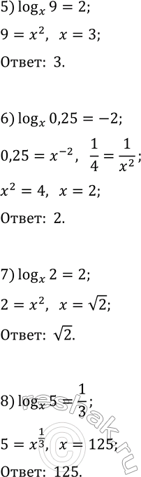
4.9. Решите уравнение: 1) log_7 (x)=-1; 4) log_2 (x)=0; 7) log_x (2)=2; 2) log_4 (x)=1/2; 5) log_x (9)=2; 8) log_x (5)=1/3.


Ниже вариант решения задания из учебника Мерзляк, Номировский, Полонский 11 класс, Просвещение:
4.9. Решите уравнение:
1) log_7 (x)=-1; 4) log_2 (x)=0; 7) log_x (2)=2;
2) log_4 (x)=1/2; 5) log_x (9)=2; 8) log_x (5)=1/3.
3) log_vx (x)=6; 6) log_x (0,25)=-2;
