Упражнение 4.37 ГДЗ Мерзляк 11 класс Базовый уровень (Алгебра)
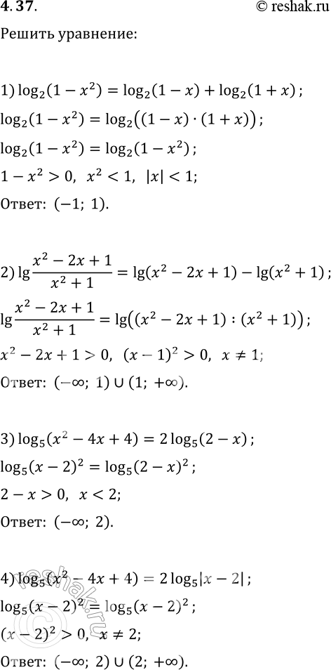
4.37. При каких значениях х верно равенство: 1) log_2 (1-x^2)=log_2 (1-x)+log_2 (1+x); 2) lg ((x^2-2x+1)/(x^2+1))=lg (x^2-2x+1)-lg (x^2+1); 3) log_5 (x^2-4x+4)=2log_5 (2-x);

Ниже вариант решения задания из учебника Мерзляк, Номировский, Полонский 11 класс, Просвещение:
4.37. При каких значениях х верно равенство:
1) log_2 (1-x^2)=log_2 (1-x)+log_2 (1+x);
2) lg ((x^2-2x+1)/(x^2+1))=lg (x^2-2x+1)-lg (x^2+1);
3) log_5 (x^2-4x+4)=2log_5 (2-x);
4) log_5(x^2-4x+4)=2log_5 |x-2|?
