Упражнение 4.38 ГДЗ Мерзляк 11 класс Базовый уровень (Алгебра)
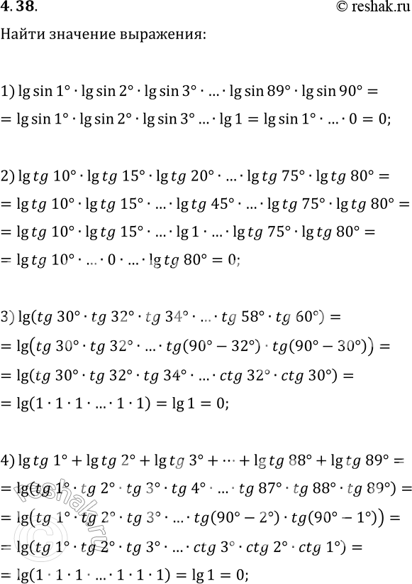
4.38. Чему равно значение выражения: 1) lg sin(1°)·lg sin(2°)·lg sin(3°)·...·lg sin(89°)·lg sin(90°); 2) lg tg(10°)·lg tg(45°)·lg tg(20°)·...·lg tg(75°)·lg tg(80°); 3) lg (tg(30°)·tg(32°)·tg(34°)·...·tg(58°)·tg(60°));

Ниже вариант решения задания из учебника Мерзляк, Номировский, Полонский 11 класс, Просвещение:
4.38. Чему равно значение выражения:
1) lg sin(1°)·lg sin(2°)·lg sin(3°)·...·lg sin(89°)·lg sin(90°);
2) lg tg(10°)·lg tg(45°)·lg tg(20°)·...·lg tg(75°)·lg tg(80°);
3) lg (tg(30°)·tg(32°)·tg(34°)·...·tg(58°)·tg(60°));
4) lg tg(1°)+lg tg(2°)+lg tg(3°)+...+lg tg(88°)+lg tg(89°).
