Упражнение 5.13 ГДЗ Мерзляк 11 класс Базовый уровень (Алгебра)
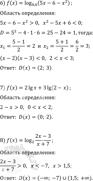
5.13. Найдите область определения функции: 1) f(x)=log_3 (x+1); 5) f(x)=log_5 (x^2+x+1); 2) f(x)=log_(1/2) (x^2+1); 6) f(x)=log_0,6 (5x-6-x^2); 3) f(x)=log_4 (-x); 7) f(x)=2lg x+3 lg(2-x);


Ниже вариант решения задания из учебника Мерзляк, Номировский, Полонский 11 класс, Просвещение:
5.13. Найдите область определения функции:
1) f(x)=log_3 (x+1); 5) f(x)=log_5 (x^2+x+1);
2) f(x)=log_(1/2) (x^2+1); 6) f(x)=log_0,6 (5x-6-x^2);
3) f(x)=log_4 (-x); 7) f(x)=2lg x+3 lg(2-x);
4) f(x)=lg x^2; 8) f(x)=log_2 ((2x-3)/(x+7)).
