Упражнение 5.8 ГДЗ Мерзляк 11 класс Базовый уровень (Алгебра)
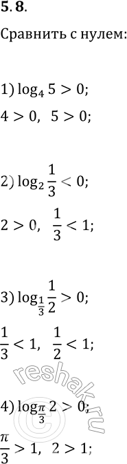
5.8. Сравните с нулём: 1) log_4 5; 2) log_2 (1/3); 3) log_(1/3) (1/2); 4) log_(?/3) 2. *Цитирирование задания со ссылкой на учебник производится исключительно в учебных целях для лучшего понимания разбора решения задания.

Ниже вариант решения задания из учебника Мерзляк, Номировский, Полонский 11 класс, Просвещение:
5.8. Сравните с нулём:
1) log_4 5; 2) log_2 (1/3); 3) log_(1/3) (1/2); 4) log_(?/3) 2.
