Упражнение 6.17 ГДЗ Мерзляк 11 класс Базовый уровень (Алгебра)
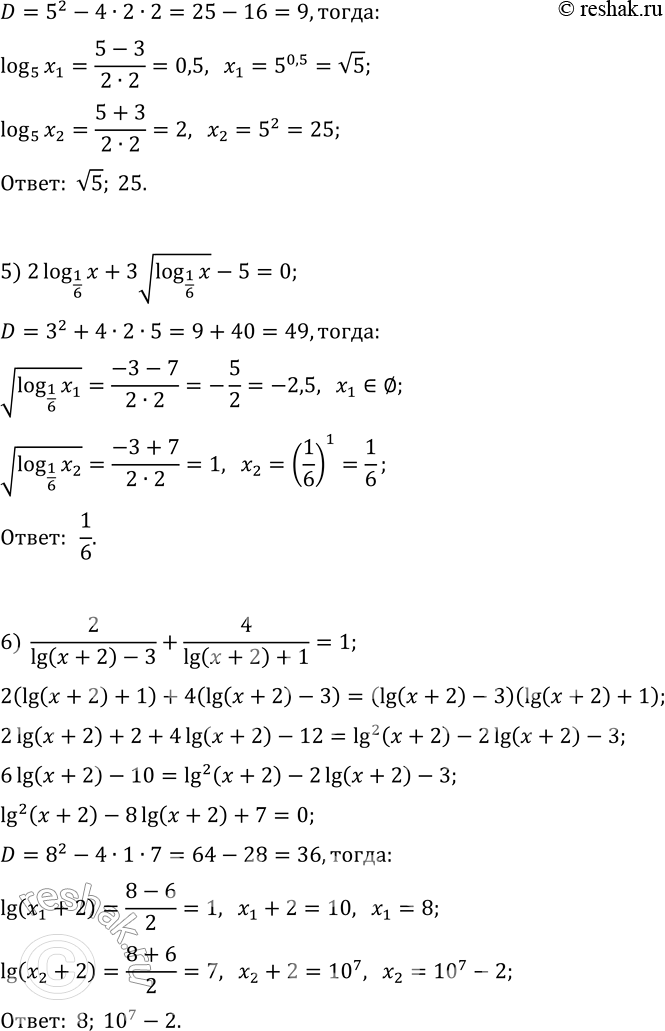
6.17. Решите уравнение: 1) (log_2 x)^2+3log_2 x-4=0; 4) log_5 x+log_x 5=2,5; 2) (log_3 x)^2-log_3 x-2=0; 5) 2log_(1/6) x+3v(log_(1/6) x)-5=0; 3) lg^2 x-2 lg x^2+3=0;


Ниже вариант решения задания из учебника Мерзляк, Номировский, Полонский 11 класс, Просвещение:
6.17. Решите уравнение:
1) (log_2 x)^2+3log_2 x-4=0; 4) log_5 x+log_x 5=2,5;
2) (log_3 x)^2-log_3 x-2=0; 5) 2log_(1/6) x+3v(log_(1/6) x)-5=0;
3) lg^2 x-2 lg x^2+3=0; 6) 2/(lg (x+2)-3)+4/(lg (x+2)+1)=1.
