Упражнение 6.21 ГДЗ Мерзляк 11 класс Базовый уровень (Алгебра)
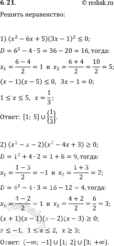
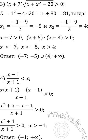
6.21. Решите неравенство: 1) (x^2-6x+5)(3x-1)^2?0; 3) (x+7)v(x+x^2-20) > 0; 2) (x^2-x-2)(x^2-4x+3)?0; 4) (x-1)/(x+1) *Цитирирование задания со ссылкой на учебник производится исключительно в учебных целях для лучшего понимания разбора решения задания.


Ниже вариант решения задания из учебника Мерзляк, Номировский, Полонский 11 класс, Просвещение:
6.21. Решите неравенство:
1) (x^2-6x+5)(3x-1)^2?0; 3) (x+7)v(x+x^2-20) > 0;
2) (x^2-x-2)(x^2-4x+3)?0; 4) (x-1)/(x+1)
