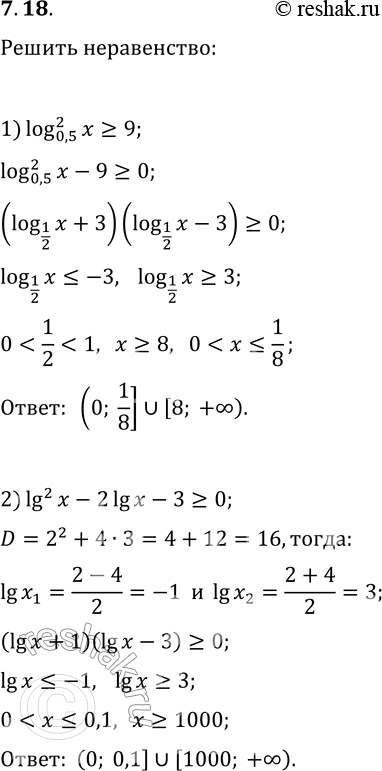
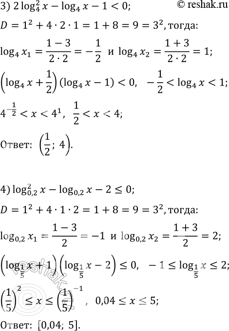
Упражнение 7.18 ГДЗ Мерзляк 11 класс Базовый уровень (Алгебра)
7.18. Решите неравенство: 1) (log_0,5 x)^2?9; 3) 2(log_4 x)^2-log_4 x-1 2) lg^2 x-2lg x-3?0; 4) (log_0,2 x)^2-log_0,2 x-2?0. *Цитирирование задания со ссылкой на учебник производится исключительно в учебных целях для лучшего понимания разбора решения задания.


Ниже вариант решения задания из учебника Мерзляк, Номировский, Полонский 11 класс, Просвещение:
7.18. Решите неравенство:
1) (log_0,5 x)^2?9; 3) 2(log_4 x)^2-log_4 x-1
2) lg^2 x-2lg x-3?0; 4) (log_0,2 x)^2-log_0,2 x-2?0.
