Упражнение 1574 ГДЗ Макарычев Миндюк 9 класс (Углубленный) (Алгебра)
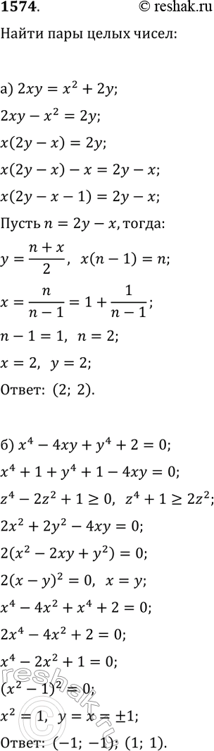
1574. Найдите: а) все пары натуральных чисел, удовлетворяющие уравнению 2xy=x^2+2y; б) все пары целых чисел, удовлетворяющие уравнению x^4-4xy+y^4+2=0.

Ниже вариант решения задания из учебника Макарычев, Миндюк, Нешков 9 класс, Просвещение:
1574. Найдите:
а) все пары натуральных чисел, удовлетворяющие уравнению 2xy=x^2+2y;
б) все пары целых чисел, удовлетворяющие уравнению x^4-4xy+y^4+2=0.
