Упражнение 3.4 ГДЗ Никольский Потапов 11 класс (Алгебра)
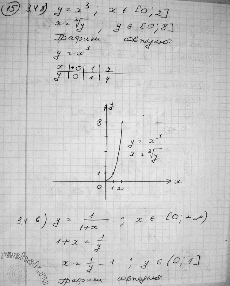
3.4 Найдите функцию х = фи (у), обратную к данной функции у = f(x), и постройте графики обеих функций в одной системе координат:




Ниже вариант решения задания из учебника Никольский, Потапов 11 класс, Просвещение:
3.4 Найдите функцию х = фи (у), обратную к данной функции у = f(x), и постройте графики обеих функций в одной системе координат:
а) у = х2, х принадлежит [-1; 0];
б) у = х3, х принадлежит [0; 2];
в) у = 1/(1+x), х принадлежит [0; +бесконечность);
г) у = 1/(1+x), х принадлежит (-бесконечность; -2);
е) У = -х + 1, х принадлежит (-бесконечность; +бесконечность).
