Упражнение 887 ГДЗ Колягин Ткачёва 11 класс (Алгебра)
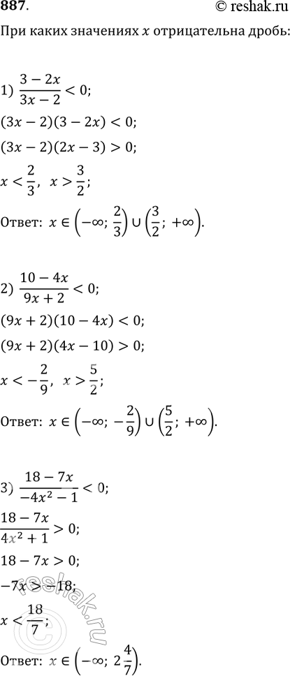
887. При каких значениях x отрицательна дробь: 1) 3-2x/3x-2; 2) 10-4x/9x+2; 3) 8-7x/-4x2-1?


Ниже вариант решения задания из учебника Колягин, Ткачёва, Фёдорова 11 класс, Просвещение:
887. При каких значениях x отрицательна дробь:
1) 3-2x/3x-2;
2) 10-4x/9x+2;
3) 8-7x/-4x2-1?
