Упражнение 1.21 ГДЗ Дорофеев Суворова 7 класс (Алгебра)
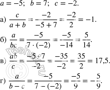
Пусть a = -5, b = 7, с = -2. Подставьте вместо букв заданные числа и найдите значение выражения: а) c/(a+b);

Ниже вариант решения задания из учебника Дорофеев, Суворова, Бунимович 7 класс, Просвещение:
Пусть a = -5, b = 7, с = -2. Подставьте вместо букв заданные числа и найдите значение выражения:
а) c/(a+b);
б) a/bc;
в) ab/c;
г) a/(b-c).
