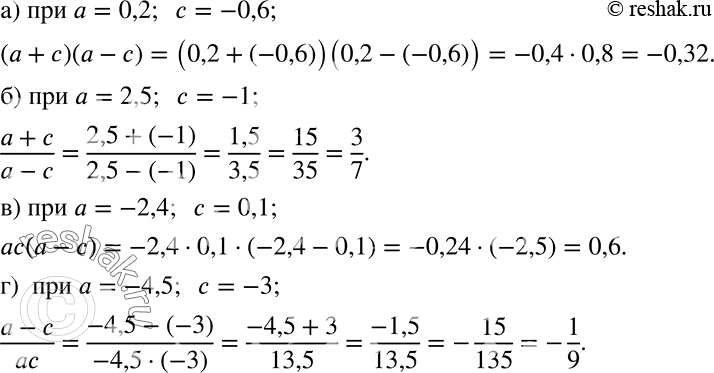
Упражнение 1.23 ГДЗ Дорофеев Суворова 7 класс (Алгебра)
Найдите значение выражения: а) (а + с)(а - с) при а = 0,2, с = -0,6; б) (a+c)/(a-c), при а = 2,5, с = —1;

Ниже вариант решения задания из учебника Дорофеев, Суворова, Бунимович 7 класс, Просвещение:
Найдите значение выражения:
а) (а + с)(а - с) при а = 0,2, с = -0,6;
б) (a+c)/(a-c), при а = 2,5, с = —1;
в) ас(а-с) при а = -2,4, с = 0,1;
г) (a-c)/ac при а = -4,5, с = -3.
