Упражнение 1.22 ГДЗ Дорофеев Суворова 7 класс (Алгебра)
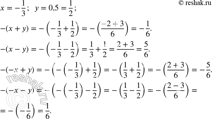
Пусть х = -1/3 и у = 0,5. Найдите значение каждого из выражений: -(x + у); -(х - у); -(-х + у);

Ниже вариант решения задания из учебника Дорофеев, Суворова, Бунимович 7 класс, Просвещение:
Пусть х = -1/3 и у = 0,5. Найдите значение каждого из выражений: -(x + у); -(х - у); -(-х + у); -(-х - у).
