Упражнение 1.27 ГДЗ Дорофеев Суворова 7 класс (Алгебра)
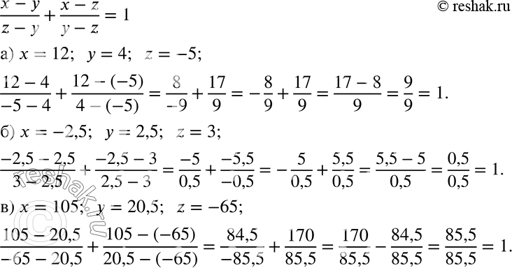
Убедитесь, что при данных значениях x, y, z значение выражения (x-у)/(z-y) + (х-z)/(y-z) равно 1: а) х = 12, y = 4, z = -5;

Ниже вариант решения задания из учебника Дорофеев, Суворова, Бунимович 7 класс, Просвещение:
Убедитесь, что при данных значениях x, y, z значение выражения (x-у)/(z-y) + (х-z)/(y-z) равно 1:
а) х = 12, y = 4, z = -5;
б) х = -2,5, у = 2,5, z = 3;
в) х = 105, у = 20,5, z = -65.
