Упражнение 1.45 ГДЗ Дорофеев Суворова 7 класс (Алгебра)
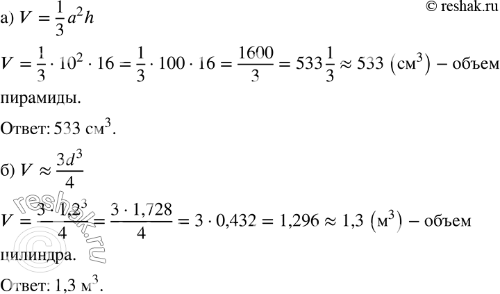
а) Объём пирамиды, в основании которой квадрат (рис. 1.4), вычисляется по формуле V=1/3*a2h. Найдите объём пирамиды,если а = 10 см, h = 16 см.

Ниже вариант решения задания из учебника Дорофеев, Суворова, Бунимович 7 класс, Просвещение:
а) Объём пирамиды, в основании которой квадрат (рис. 1.4), вычисляется по формуле V=1/3*a2h. Найдите объём пирамиды,если а = 10 см, h = 16 см. (Ответ округлите до единиц.) б) Объём цилиндра, диаметр основания которого равен его высоте (рис. 1.5), можно приближённо вычислить по формуле V=3d3/4. Найдите объём цилиндра при d= 1,2 м. (Ответ округлите до десятых.)
