Упражнение 1.44 ГДЗ Дорофеев Суворова 7 класс (Алгебра)
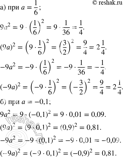
Найдите значения выражений 9а2, (9а)2, -9а2, (-9а)2: а) при а = 1/6; б) при а = -0,1. *Цитирирование задания со ссылкой на учебник производится исключительно в учебных целях для лучшего понимания разбора решения задания.

Ниже вариант решения задания из учебника Дорофеев, Суворова, Бунимович 7 класс, Просвещение:
Найдите значения выражений 9а2, (9а)2, -9а2, (-9а)2:
а) при а = 1/6; б) при а = -0,1.
