Упражнение 1.43 ГДЗ Дорофеев Суворова 7 класс (Алгебра)
Запишите выражение и найдите его значение: а) сумма квадратов чисел -3 и 4; квадрат суммы чисел -3 и 4; б) квадрат разности чисел 0,3 и 1,3;

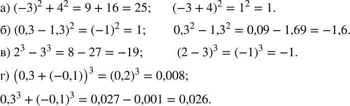
Ниже вариант решения задания из учебника Дорофеев, Суворова, Бунимович 7 класс, Просвещение:
Запишите выражение и найдите его значение:
а) сумма квадратов чисел -3 и 4; квадрат суммы чисел -3 и 4;
б) квадрат разности чисел 0,3 и 1,3; разность квадратов чисел 0,3 и 1,3;
в) разность кубов чисел 2 и 3; куб разности чисел 2 и 3;
г) куб суммы чисел 0,3 и -0,1; сумма кубов чисел 0,3 и -0,1.
