Упражнение 3.23 ГДЗ Дорофеев Суворова 7 класс (Алгебра)
Для каждого выражения из первой строки найдите равное ему выражение из второй строки. А) m + m + m Б) m + m + m + m + m В) mmm Г) mmmmm 1) m + 5 2) m3 3) 5m 4) m5 5) m + 3 6) 3m *Цитирирование задания со ссылкой на учебник производится исключительно в учебных целях для лучшего понимания разбора решения задания.

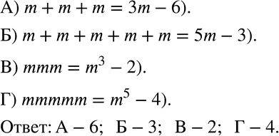
Ниже вариант решения задания из учебника Дорофеев, Суворова, Бунимович 7 класс, Просвещение:
Для каждого выражения из первой строки найдите равное ему выражение из второй строки.
А) m + m + m
Б) m + m + m + m + m
В) mmm
Г) mmmmm
1) m + 5
2) m3
3) 5m
4) m5
5) m + 3
6) 3m
