Упражнение 3.24 ГДЗ Дорофеев Суворова 7 класс (Алгебра)
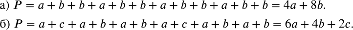
Чему равен периметр фигуры, изображённой на рисунке 3.5, а, б? *Цитирирование задания со ссылкой на учебник производится исключительно в учебных целях для лучшего понимания разбора решения задания.

Ниже вариант решения задания из учебника Дорофеев, Суворова, Бунимович 7 класс, Просвещение:
Чему равен периметр фигуры, изображённой на рисунке 3.5, а, б?
