Упражнение 3.26 ГДЗ Дорофеев Суворова 7 класс (Алгебра)
Упростите выражение (254 — 255). 254 а) 24 + m - 36; б) х - 10 - 2; в) a - 1 + 1;

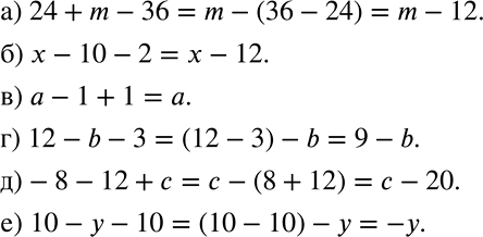
Ниже вариант решения задания из учебника Дорофеев, Суворова, Бунимович 7 класс, Просвещение:
Упростите выражение (254 — 255).
254 а) 24 + m - 36;
б) х - 10 - 2;
в) a - 1 + 1;
г) 12 - b - 3;
д) -8 - 12 + с;
е) 10 - у - 10.
