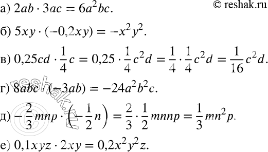
Упражнение 3.32 ГДЗ Дорофеев Суворова 7 класс (Алгебра)
Упростите выражение: а) 2ab * 3ac; б) 5xy * (-0,2xy); в) 0,25cd * 1/4*с; r) 8abc * (-3ab); д) -2/3*mnp * (-1/2*n);

Ниже вариант решения задания из учебника Дорофеев, Суворова, Бунимович 7 класс, Просвещение:
Упростите выражение:
а) 2ab * 3ac;
б) 5xy * (-0,2xy);
в) 0,25cd * 1/4*с;
r) 8abc * (-3ab);
д) -2/3*mnp * (-1/2*n);
e) 0,1xyz * 2xу.
