Упражнение 3.30 ГДЗ Дорофеев Суворова 7 класс (Алгебра)
Для каждого выражения из верхней строки выберите равное ему из нижней строки и запишите соответствующее равенство. a(-b)c (-c)(-a)b ad(-c)(-b) (-a)(-b)(-c)d abcd -abcd abc -abc *Цитирирование задания со ссылкой на учебник производится исключительно в учебных целях для лучшего понимания разбора решения задания.

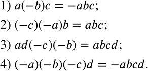
Ниже вариант решения задания из учебника Дорофеев, Суворова, Бунимович 7 класс, Просвещение:
Для каждого выражения из верхней строки выберите равное ему из нижней строки и запишите соответствующее равенство.
a(-b)c
(-c)(-a)b
ad(-c)(-b)
(-a)(-b)(-c)d
abcd
-abcd
abc
-abc
