Упражнение 3.34 ГДЗ Дорофеев Суворова 7 класс (Алгебра)
Назовите общий множитель числителя и знаменателя дроби и сократите её: а) 4xy/5yz; б) 15km/10nm; в) 8ab/12abc; г) 7xyz/21xz; д) 6mnk/9knp; е) 2x2/3x;

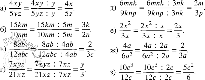
Ниже вариант решения задания из учебника Дорофеев, Суворова, Бунимович 7 класс, Просвещение:
Назовите общий множитель числителя и знаменателя дроби и сократите её:
а) 4xy/5yz;
б) 15km/10nm;
в) 8ab/12abc;
г) 7xyz/21xz;
д) 6mnk/9knp;
е) 2x2/3x;
ж) 4a/6a2;
з) 10c3/12c.
