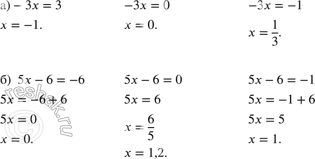
Упражнение 4.35 ГДЗ Дорофеев Суворова 7 класс (Алгебра)
При каких значениях х: а) значение выражения -Зх равно 3; 0; -1; б) значение выражения 5х - 6 равно -6; 0;

Ниже вариант решения задания из учебника Дорофеев, Суворова, Бунимович 7 класс, Просвещение:
При каких значениях х:
а) значение выражения -Зх равно 3; 0; -1;
б) значение выражения 5х - 6 равно -6; 0; -1?
