Упражнение 4.37 ГДЗ Дорофеев Суворова 7 класс (Алгебра)
Найдите значение переменной, при котором: а) значение выражения 7 + 5х в 2 раза больше значения выражения Зх; б) значение выражения 2х-4 в 3 раза меньше значения выражения 2х;

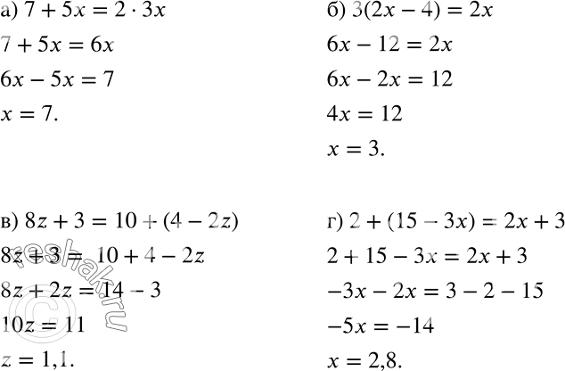
Ниже вариант решения задания из учебника Дорофеев, Суворова, Бунимович 7 класс, Просвещение:
Найдите значение переменной, при котором:
а) значение выражения 7 + 5х в 2 раза больше значения выражения Зх;
б) значение выражения 2х-4 в 3 раза меньше значения выражения 2х;
в) значение выражения 8z + 3 на 10 больше значения выражения 4 - 2z;
г) значение выражения 15 —Зх на 2 меньше значения выражения 2х + 3.
