Упражнение 4.38 ГДЗ Дорофеев Суворова 7 класс (Алгебра)
Придумайте несколько уравнений, корнем каждого из которых является число: а) 6; б) -10; в) 0; г) -1/3. *Цитирирование задания со ссылкой на учебник производится исключительно в учебных целях для лучшего понимания разбора решения задания.

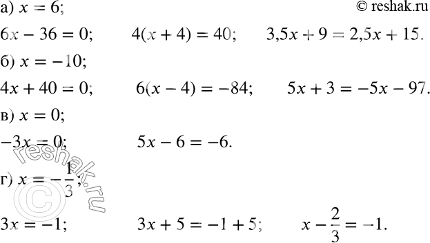
Ниже вариант решения задания из учебника Дорофеев, Суворова, Бунимович 7 класс, Просвещение:
Придумайте несколько уравнений, корнем каждого из которых является число:
а) 6;
б) -10;
в) 0;
г) -1/3.
