Упражнение 4.45 ГДЗ Дорофеев Суворова 7 класс (Алгебра)
Выразите из равенства каждую переменную через другие: а) а + 2b - с = 0; б) m + n - 2с = 1;

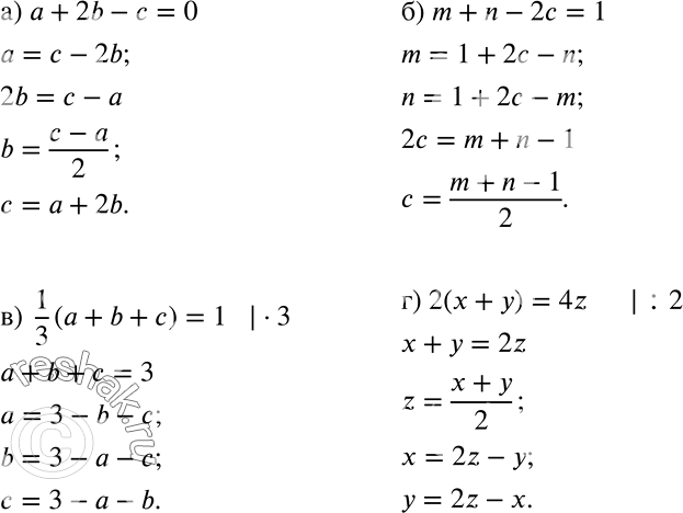
Ниже вариант решения задания из учебника Дорофеев, Суворова, Бунимович 7 класс, Просвещение:
Выразите из равенства каждую переменную через другие:
а) а + 2b - с = 0;
б) m + n - 2с = 1;
в) 1/3*(а + b + с) = 1;
г) 2(x + y) = 4z.
