Упражнение 4.43 ГДЗ Дорофеев Суворова 7 класс (Алгебра)
Запишите вместо с такое число, чтобы корнем получившегося уравнения было целое число: а) 1/8*x = с; б) 0,1x = с; в) сx = 15;

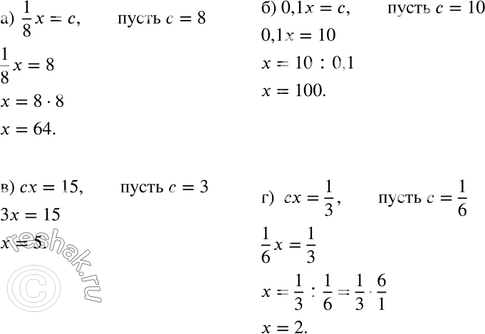
Ниже вариант решения задания из учебника Дорофеев, Суворова, Бунимович 7 класс, Просвещение:
Запишите вместо с такое число, чтобы корнем получившегося уравнения было целое число:
а) 1/8*x = с;
б) 0,1x = с;
в) сx = 15;
г) сx = 1/3.
