Упражнение 4.42 ГДЗ Дорофеев Суворова 7 класс (Алгебра)
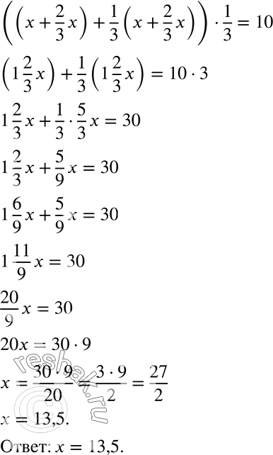
В древнеегипетском папирусе (1700 лет до н. э.) содержится решение уравнения, которое на языке современной математики можно записать так: ((x + 2/3*x) + 1/3*(x + 2/3*x)) * 1/3 = 10.

Ниже вариант решения задания из учебника Дорофеев, Суворова, Бунимович 7 класс, Просвещение:
В древнеегипетском папирусе (1700 лет до н. э.) содержится решение уравнения, которое на языке современной математики можно записать так: ((x + 2/3*x) + 1/3*(x + 2/3*x)) * 1/3 = 10. Решите это уравнение.
