Упражнение 5.11 ГДЗ Дорофеев Суворова 7 класс (Алгебра)
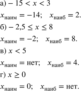
Назовите наименьшее и наибольшее целое число, принадлежащее указанному промежутку (если такое существует): а) интервалу -15 б) отрезку -2,5 в) лучу х г) лучу х >

Ниже вариант решения задания из учебника Дорофеев, Суворова, Бунимович 7 класс, Просвещение:
Назовите наименьшее и наибольшее целое число, принадлежащее указанному промежутку (если такое существует):
а) интервалу -15
б) отрезку -2,5
в) лучу х
г) лучу х > = 0.
