Упражнение 5.7 ГДЗ Дорофеев Суворова 7 класс (Алгебра)
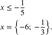
Какие из точек -6; -1/3; -1/6; 0; 0,4 принадлежат лучу, изображённому на рисунке 5.8? *Цитирирование задания со ссылкой на учебник производится исключительно в учебных целях для лучшего понимания разбора решения задания.

Ниже вариант решения задания из учебника Дорофеев, Суворова, Бунимович 7 класс, Просвещение:
Какие из точек -6; -1/3; -1/6; 0; 0,4 принадлежат лучу, изображённому на рисунке 5.8?
