Упражнение 5.8 ГДЗ Дорофеев Суворова 7 класс (Алгебра)
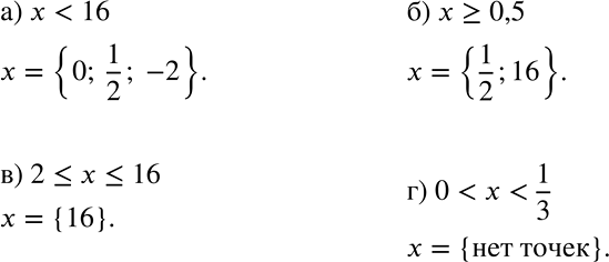
Какие из чисел 0; -2; 16 принадлежат промежутку: а) x б) х > =0,5; в) 2 г) 0 *Цитирирование задания со ссылкой на учебник производится исключительно в учебных целях для лучшего понимания разбора решения задания.

Ниже вариант решения задания из учебника Дорофеев, Суворова, Бунимович 7 класс, Просвещение:
Какие из чисел 0; -2; 16 принадлежат промежутку:
а) x
б) х > =0,5;
в) 2
г) 0
