Упражнение 5.5 ГДЗ Дорофеев Суворова 7 класс (Алгебра)
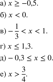
Работаем с символами Опишите на алгебраическом языке промежутки, изображённые на рисунке 5.7, a—е. *Цитирирование задания со ссылкой на учебник производится исключительно в учебных целях для лучшего понимания разбора решения задания.

Ниже вариант решения задания из учебника Дорофеев, Суворова, Бунимович 7 класс, Просвещение:
Работаем с символами Опишите на алгебраическом языке промежутки, изображённые на рисунке 5.7, a—е.
