Упражнение 6.102 ГДЗ Дорофеев Суворова 7 класс (Алгебра)
Представьте в виде многочлена стандартного вида: а) x(2x2 - 3x + 1) + 2x(3 + 2x - x2); б) m(m2 - mn + n2) - n(m2 + mn + n2);

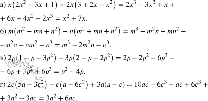
Ниже вариант решения задания из учебника Дорофеев, Суворова, Бунимович 7 класс, Просвещение:
Представьте в виде многочлена стандартного вида:
а) x(2x2 - 3x + 1) + 2x(3 + 2x - x2);
б) m(m2 - mn + n2) - n(m2 + mn + n2);
в) 2р( 1 - р - 3р2) - 3р(2 - р - 2р2);
г) 2с(5а - Зс2) - с(а - 6с2) + 3а(а - с).
