Упражнение 6.103 ГДЗ Дорофеев Суворова 7 класс (Алгебра)
Упростите выражение: а) (m(3m - 2n) - m(3n - 2m))n; б) b(а(а - b) - b(а + b)) - a(b(а - b) - а(а + b)).

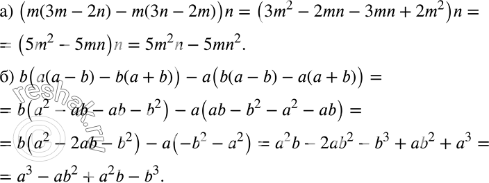
Ниже вариант решения задания из учебника Дорофеев, Суворова, Бунимович 7 класс, Просвещение:
Упростите выражение:
а) (m(3m - 2n) - m(3n - 2m))n;
б) b(а(а - b) - b(а + b)) - a(b(а - b) - а(а + b)).
