Упражнение 6.56 ГДЗ Дорофеев Суворова 7 класс (Алгебра)
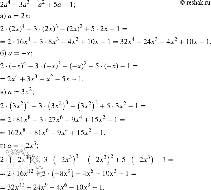
Дан многочлен 2а4 - 3а3 - а2 + 5а - 1. Подставьте вместо а заданное выражение и приведите многочлен к стандартному виду:

Ниже вариант решения задания из учебника Дорофеев, Суворова, Бунимович 7 класс, Просвещение:
Дан многочлен 2а4 - 3а3 - а2 + 5а - 1. Подставьте вместо а заданное выражение и приведите многочлен к стандартному виду:
а) 2х;
б) -х;
в) 3х2;
г) -2х3.
