Упражнение 6.59 ГДЗ Дорофеев Суворова 7 класс (Алгебра)
Упростите: а) 5xy2 - 3х2у - ху + 5х2у - 6ху2 + ху; б) 8а3 - 6а2b + b2 - 8а3 + 3а2b - 3b2;

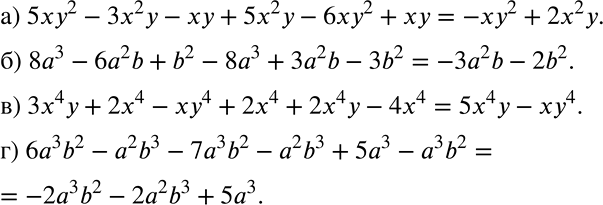
Ниже вариант решения задания из учебника Дорофеев, Суворова, Бунимович 7 класс, Просвещение:
Упростите:
а) 5xy2 - 3х2у - ху + 5х2у - 6ху2 + ху;
б) 8а3 - 6а2b + b2 - 8а3 + 3а2b - 3b2;
в) 3х4у + 2x4 - ху4 + 2x4 + 2х4у - 4x4;
г) 6а3b2 - а2b3 - 7а3b2 - а2b3 + 5а3 - а3b2.
